小y的密码
时间限制:10s 空间限制:512MB
题目描述
废话不多说,反正小y高考屠场啦!!
然而我们知道,高考报志愿系统是需要密码的,而小y根本没有在意自己的密码,为了挑战人生,他决定自己把密码找出来。
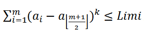
不知道为什么,小y认为自己的密码是一个大小不超过n的正整数,且满足一个奇怪的性质。
设这个正整数各个数位上的数字按数值大小从小到大依次为a_1,a_2,…,a_m,那么就有

其中k和Limi是给定的常数。现在给定n、k、Limi,求有多少种可能的密码。
输入格式
一行三个非负整数n、k、Limi,用一个空格隔开
n<=10^9,k<=10, Limi<=2*10^9
输出格式
一行一个整数表示符合条件的不同密码数量。
样例输入
100000 0 5
样例输出
99999
提示
没有写明提示
题目来源
没有写明来源